Gejala munculnya interaksi yang berupa gaya tarik-menarik antarbenda yang ada di alam ini disebut gaya gravitasi. Setiap benda di alam ini mengalami gaya gravitasi. Gaya gravitasi merupakan gaya interaksi antarbenda.
Pernahkah Anda bertanya kenapa gaya gravitasi yang Anda alami tidak menyebabkan benda-benda yang terdapat di sekitar Anda tertarik ke arah Anda, atau sebaliknya?
Di alam semesta, gaya gravitasi menyebabkan planet-planet, satelit-satelit, dan benda-benda langit lainnya bergerak mengelilingi Matahari (Matahari pun bergerak mengelilingi sistem yang lebih besar lagi. Baca: Mataharipun Bergerak) dalam sistem tata surya dalam lintasan yang tetap.
| Sumber: Suara.com |
Konsepsi adanya gaya tarik-menarik atau dikenal dengan gaya gravitasi antara benda-benda di alam pertama kali dikemukakan oleh Sir Isaac Newton pada tahun 1665. (Berdasarakn sejarah yang beredar, walaupun sebenarnya jauh sebelum Newton ilmuwan muslim sudah mengemukakan konsep gravitasi, baca: Ilmuwan muslim Pencetus Hukum Gravitasi). Kisah Newton bisa di baca di: Newton dan Apel .
Berdasarkan analisisnya, Newton menemukan bahwa gaya yang bekerja pada buah apel yang jatuh dari pohon dan gaya yang bekerja pada Bulan yang bergerak mengelilingi Bumi mempunyai sifat yang sama. Setiap benda pada permukaan bumi merasakan gaya gravitasi yang arahnya menuju pusat bumi. Gaya gravitasi bumi inilah yang menyebabkan buah apel jatuh dari pohon dan yang menahan Bulan pada orbitnya.
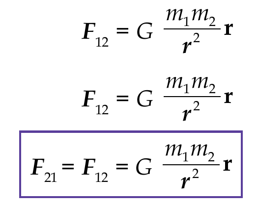
Menurut Newton, "gaya gravitasi antara dua benda merupakan gaya tarik-menarik yang berbanding lurus dengan massa setiap benda dan berbanding terbalik dengan kuadrat jarak antara benda tersebut". Secara matematis, pernyataan mengenai gaya gravitasi tersebut dituliskan sebagai berikut:
F = gaya gravitasi (N)
m1,m2 = massa masing-masing benda (kg)
r = jarak antara kedua benda (m)
G = konstanta gravitasi (Nm2/kg2) = 6,67. 10-11 Nm2/kg2
Massa bumi adalah 6.1024 kg dan massa bulan adalah 7,4.1022 kg. Apabila jarak rata-rata Bumi dengan Bulan adalah 3,8.108 m dan G = 6,67. 10-11 Nm2/kg2 , tentukan gaya gravitasi antara Bumi dengan Bulan!
Penyelesaian:

Terima kasih penjelasannya, saya bukan anak IPA tapi saya mengerti☺️ Terima kasih banyak.
BalasHapusMantapp
Hapus