Intensitas Bunyi
Pada dasarnya gelombang bunyi adalah rambatan energi yang berasal dari sumber bunyi yang merambat ke segala arah, sehingga muka gelombangnya berbentuk bola. Energi gelombang bunyi yang menembus permukaan bidang tiap satu satuan luas tiap detiknya disebut intensitas bunyi. Apabila suatu sumber bunyi mempunyai daya sebesar P watt, maka besarnya intensitas bunyi di suatu tempat yang berjarak rdari sumber bunyi dapat dinyatakan :
dengan :
I = intensitas bunyi (watt/m2)
P = daya sumber bunyi (watt, joule/s)
A = luas permukaan yang ditembus gelombang bunyi (m2)
r = jarak tempat dari sumber bunyi (m)
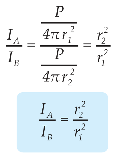
Berdasarkan persamaan di atas terlihat bahwa intensitas bunyi di suatu tempat berbanding terbalik dengan kuadrat jaraknya, makin jauh dari sumber bunyi, maka intensitasnya semakin kecil. Jika titik A berjarak r1 dan titik B berjarak r2 dari sumber bunyi, maka perbandingan intensitas bunyi antara titik A dan B dapat dinyatakan dalam persamaan :
Besarnya ambang pendengaran berkisar pada 10-12watt/m2 dan besarnya ambang perasaan berkisar pada 1 watt/m2.
Taraf Intensitas Bunyi
Para ilmuwan menyatakan mengukur intensitas bunyi tidak dalam watt/m2 melainkan dalam satuan dB (desi bell) yang menyatakan Taraf Intensitas bunyi (TI).Taraf intensitas bunyi merupakan perbandingan nilai logaritma antara intensitas bunyi yang diukur dengan intensitas ambang pendengaran (Io) yang dituliskan dalam persamaan :
dengan :
TI = taraf intensitas bunyi (dB = desi bell)
I = intesitas bunyi (watt.m-2)
Io = intensitas ambang pendengaran (Io = 10-12 watt.m-2)
Intensitas dan Taraf Intensitas beberapa sumber bunyi
Jika terdapat sumber bunyi yang lebih dari satu, taraf intensitas titalnya dapat diketahui dengan persamaan:
TI(n) = taraf intensitas oleh n sumber bunyi
TI(1) = taraf intensitas 1 sumber bunyi
n = banyaknya sumber
Contoh Soal dan Pembahasan
Suatu sumber bunyi dengan daya 12,56 watt memancarkan gelombang bunyi berupa gelombang speris. Intensitas ambang pendengaran 10-12watt/m2. Tentukan taraf intensitas bunyi pada jarak 100 meter dari sumber bunyi!
Pembahasan:
