Dalam kehidupan sehari-hari, kita sering menjumpai bunyi yang kita dengar akan terdengar berbeda apabila antara sumber bunyi dan pendengar terjadi gerakan relatif.
Misalnya pada saat kita menaiki sepeda motor di jalan raya berpapasan dengan mobil ambulan atau mobil patroli yang membunyikan sirine. Bunyi sirine yang terdengar akan makin keras saat kita bergerak saling mendekati dan akan semakin lemah pada saat kita bergerak saling menjauhinya. Peristiwa ini disebut efek Doppler yaitu peristiwa terjadinya perubahan frekuensi bunyi yang diterima oleh pendengar akan berubah jika terjadi gerakan relatif antara sumber bunyi dan pendengar.
Peristiwa ini pertama kali dikemukakan oleh Christian Johann Doppler pada tahun 1942 dan secara eksperimen dilakukan oleh Buys Ballot pada tahun 1945.
Sebagai contoh sumber bunyi mengeluarkan bunyi dengan frekuensi fs dan bergerak dengan kecepatan vs dan pendengar bergerak dengan kecepatan vp dan kecepatan rambat gelombang bunyi adalah vmaka frekuensi bunyi yang diterima oleh pendengar apabila terjadi gerakan relatif antara sumber bunyi dengan pendengar dapat dirumuskan :
Aturan penulisan tanda kecepatan :
- vp berharga positif jika pendengar bergerak mendekati sumber bunyi dan sebaliknya vp berharga negatif jika pendengar bergerak menjauhi sumber bunyi.
- vs berharga positif jika sumber bunyi menjauhi pendengar dan sebaliknya berharga negatif jika sumber bunyi bergerak mendekati pendengar.
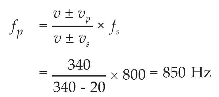
Contoh Soal dan Pembahasan
Sebuah mobil patroli polisi bergerak dengan kelajuan 72 km/jam sambil membunyikan sirine yang mempunyai frekuensi 800 Hz. Tentukan berapa frekuensi bunyi sirine yang diterima oleh seseorang yang diam dipinggir jalan pada saat mobil tersebut bergerak mendekatinya! Apabila diketahui cepat rambat gelombang bunyi di udara 340 m/s
Pembahasan:
Diketahui : vs = 72 km/jam = 20 m/s; fs = 800 Hz ; vp = 0; v = 340 m/s
Ditanyakan: fp = ?
Jawab :
